
渣浆泵型号意义:

结构图:

1、入口短管 2、前泵盖 3、前护板 4、O型橡胶密封圈 5、出口短管 6、护套 7、后泵盖 8、O型橡胶密封圈 9、后护板 10、填料箱 11、油浸石棉盘根F19 12、填料压盖 13、轴套 14、拆卸环 15、轴承压盖 16、轴承上盖 17、向心推力球轴承 18、甩水环 19、拼冒 20、联轴器 21、O型橡胶密封圈 22、O型橡胶密封圈 23、叶轮 24、副叶轮 25、0型橡胶密封圈 26、O型橡胶密封圈 27、调整套 28、甩水环 29、骨架油封 30、短圆柱滚子轴承 31、4号泵座 32、弹性具销
结构说明:
ZM型渣浆泵是一种单机单吸悬臂卧式离心泵,在结构上吸收了国内外同类产品的优点而设计的,该泵便于安装、拆卸检修方便。
泵头部分:ZM型渣浆泵为双泵壳结构,即前、后泵壳、前护板、后护板、护套、轴套组成。过流部分采用JM3制造,前、后泵壳由灰铸铁或球墨铸铁制造。泵的吐出口位置可根据需要,按45°间隔,旋转八个不同的角度安装使用,并可根据用户要求的角度安装,叶轮前后盖板有背叶片以减少泄漏,提高泵的寿命及效率。
轴封部分:轴封有两种型式,副叶轮轴封及填料轴封。副叶轮轴封具有不稀释矿浆、密封使用寿命长、密封效果好等优点。填料密封结构简单,维修方便。
传动部分:ZM型渣浆泵可采用直接驱动,轴承座承体组件结构强度高,泵轴直径大,刚性好,悬臂短,在恶劣的工况下不会弯曲和振动。轴承选用重型单列圆锥滚子轴承,能够承受泵的轴向和径向载荷。轴承采用油脂润滑。轴承体两端有轴承压盖,内有密封圈,能有效防止矿浆进入和润滑脂的外泄,保证轴承安全运行。可根据用户要求,轴承传动部位采用对开式,用稀油润滑,降低轴温。
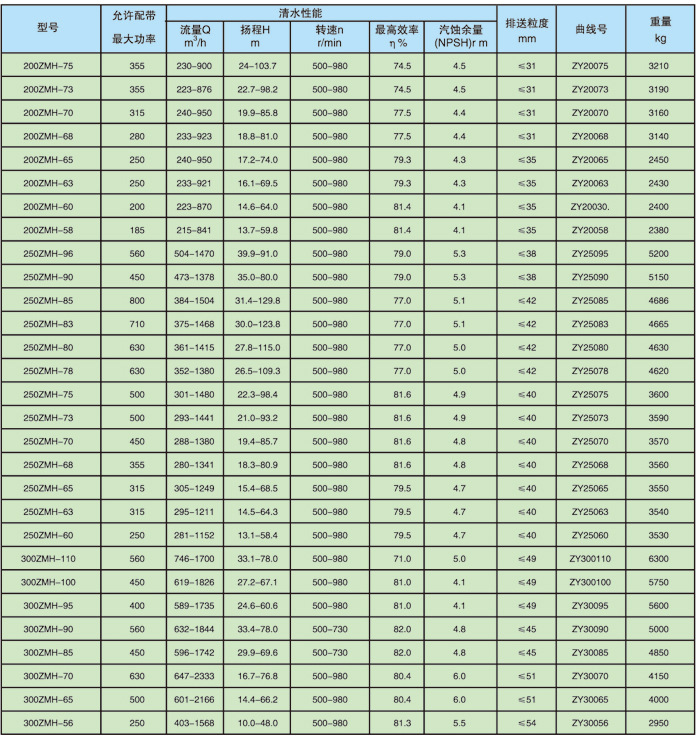
渣浆泵主要技术参数


[上一个: 化工离心泵 ]
[下一个: 立式渣浆泵 ]
电话:0523-84338062
传真:0523-84337789
网址:www.jsymjx.com
邮箱:hrluqiaogen@163.com
地址:江苏省靖江市新桥镇新桥东路52号